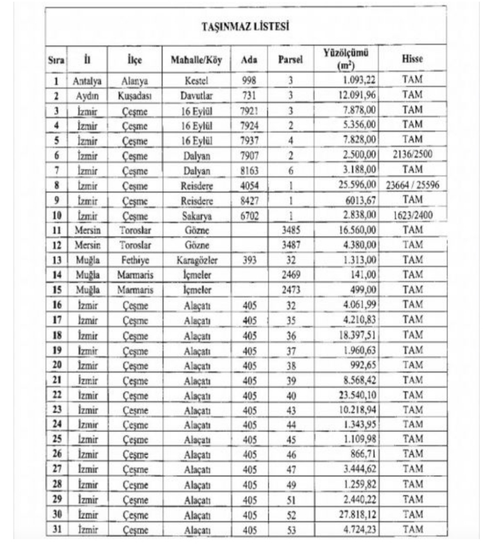
Mülkiyet, Maliye hazinesine ait 31 parsel arazi özelleştirme kapsamına alındı.
Resmi Gazete’de yayımlanan Cumhurbaşkanlığı kararıyla Çeşme, Alanya, Kuşadası, Marmaris, Fethiye ve Mersin-Toroslar’da bulunan 31 parsel arazi ihale kapmasına alındı.
İhaleye alınan arazilerden 24’ü Çeşme’de, İkisi Marmaris’te, ikisi Toroslar’da ve birer tanesi de Fethiye, Alanya ve Kuşadası’nda bulunuyor.
Özelleştirme kapsam ve programına alınan arazilerin detayları şöyle:
